2024년 군인 봉급표, 월급은 얼마? (육군, 해군, 해병대, 공군 복무기간, 직업군인 월급)
2024년 군인 봉급표, 월급은 얼마? (육군, 해군, 해병대, 공군 복무기간, 직업군인 월급)
2024년 군인 봉급이 큰 변화를 맞이합니다. 병사들의 월급은 전년 대비 큰 폭으로 인상되며, 특히 병장 기준으로는 월급이 27% 인상되어 165만원에 달하게 됩니다. 이러한 변화는 군복무 기간 동안 병사들의 경제적 안정을 도모하고, 복무 후 사회로의 원활한 복귀를 돕기 위한 목적입니다.
2024 군인 봉급표
2023년 병장의 월급은 100만원으로 최저 시급보다 낮았으나, 2024년에는 125만원으로 25만원 인상되었습니다. 여기에 정부의 내일준비 지원금 40만원이 추가되어 매월 최대 165만원을 받게 됩니다. 이는 군인들의 처우 개선과 더불어 경제적 자립을 돕기 위한 조치입니다.
2024 군인 봉급표
| 계급 | 2023년 | 2024년 |
|---|---|---|
| 이병 | 60만원 | 64만원 (+4만원) |
| 일병 | 68만원 | 80만원 (+12만원) |
| 상병 | 80만원 | 100만원 (+20만원) |
| 병장 | 100만원 | 125만원 (+25만원) |
병장 내일준비 지원금
병사들의 월급 인상과 더불어 자산 형성 프로그램인 내일준비적금도 중요한 역할을 합니다. 병장 기준으로 2025년에는 매월 최대 205만원을 받을 수 있게 됩니다. 이는 군복무 기간 동안 경제적 기반을 다지는 데 큰 도움이 될 것입니다.
내일준비 지원금
| 연도 | 지원금 |
|---|---|
| 2022년 | 14.1만원 |
| 2023년 | 30만원 |
| 2024년 | 40만원 |
| 2025년 | 55만원 |
육군, 해병대 봉급표
육군과 해병대의 경우, 복무 기간 18개월 동안 총 17,240,000원의 급여를 받게 됩니다. 이는 병사들의 경제적 안정을 돕기 위한 중요한 변화입니다.
| 계급 | 복무 기간 | 총 급여액 |
|---|---|---|
| 이병 | 2개월 | 1,440,000원 |
| 일병 | 6개월 | 4,800,000원 |
| 상병 | 6개월 | 6,000,000원 |
| 병장 | 4개월 | 5,000,000원 |
| 합계 | 18개월 | 17,240,000원 |
해군 봉급표
해군의 복무 기간은 20개월로, 총 19,740,000원의 급여를 받습니다.
| 계급 | 복무 기간 | 총 급여액 |
|---|---|---|
| 이병 | 2개월 | 1,440,000원 |
| 일병 | 6개월 | 4,800,000원 |
| 상병 | 6개월 | 6,000,000원 |
| 병장 | 6개월 | 7,500,000원 |
| 합계 | 20개월 | 19,740,000원 |
공군 봉급표
공군의 복무 기간은 21개월로, 총 20,299,000원의 급여를 받습니다.
| 계급 | 복무 기간 | 총 급여액 |
|---|---|---|
| 이병 | 2개월 | 1,440,000원 |
| 일병 | 6개월 | 4,800,000원 |
| 상병 | 6개월 | 6,000,000원 |
| 병장 | 7개월 | 8,750,000원 |
| 합계 | 21개월 | 20,990,000원 |
이와 함께 국가에서 1대1로 매칭해 주는 장병 내일준비지원금(최대 1,300만원)까지 합치면, 군복무 기간 동안 모은 금액은 제대 후 사회로 복귀할 때 중요한 경제적 기반이 될 수 있습니다.
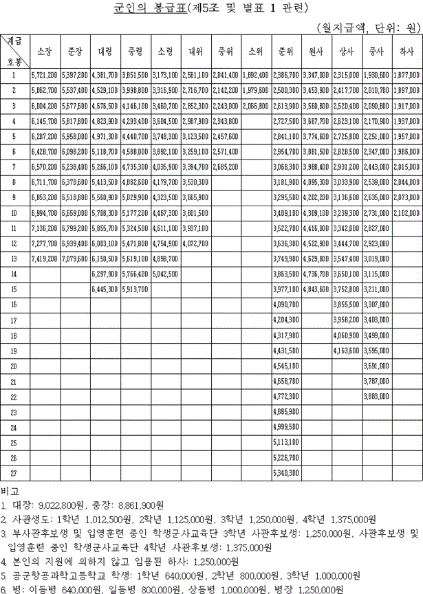
2024 직업 군인 월급표
2024년에는 초급 간부들의 봉급이 전년 대비 6% 인상됩니다. 또한, 3년 미만 복무 군인도 주택수당 월 16만원을 지급 받을 수 있게 되어, 간부들의 처우 개선에도 중점을 두었습니다.
2024 직업 군인 월급표
| 계급 | 월급(1호봉) |
|---|---|
| 하사 | 1,877,000원 |
| 중사 | 1,930,600원 |
| 소위 | 1,892,400원 |
| 중위 | 2,041,400원 |
| 대위 | 2,581,100원 |
| 소령 | 3,173,100원 |
| 중령 | 3,8513,100원 |
| 대령 | 4,381,700원 |
2024년에는 소위 1호봉의 월급이 약 189만원인데, 내년 인상률을 감안하면 2025년에는 병장의 월급이 정부 지원금까지 합쳐 매월 205만원에 달하면서 소위의 임금이 역전되는 현상이 나타납니다. 또한, 간부들은 급여에 세금이 부과되지만, 병장 이하의 계급 군인들은 세금이 면제되어 실수령액에서도 차이가 발생합니다. 이러한 점들이 간부 기피 현상의 원인이 되고 있습니다.
군간부 지원 감소와 출생률 저하 문제
최근 뉴스에 따르면 군간부 지원 수가 점차 줄어들고 있으며, 출생률 저하로 인해 앞으로 병사의 수도 많이 줄어들 것으로 예상됩니다. 이러한 상황에서 군의 처우가 더욱 개선되고, MZ세대들이 직업 군인을 좋은 직업으로 인식할 수 있도록 다양한 정책적 노력이 필요합니다.
결론
2024년 군인 봉급표는 군복무 중인 병사와 직업 군인 모두에게 긍정적인 변화를 가져올 것입니다. 병사들의 월급 인상과 내일준비 지원금은 경제적 안정을 도모하고, 초급 간부들의 봉급 인상은 간부 지원을 장려하는 데 도움이 될 것입니다. 이러한 변화들이 군인들의 복지 향상에 기여하고, 나아가 군의 미래를 밝게 만드는 데 기여할 것으로 기대됩니다.
키워드: 2024 군인 봉급표, 군인 월급, 병장 월급, 직업군인 월급, 육군 봉급, 해군 봉급, 해병대 봉급, 공군 봉급, 내일준비 지원금, 군복무 급여
댓글
댓글 쓰기